技术参数
执行标准:JB/T8734.4-2012
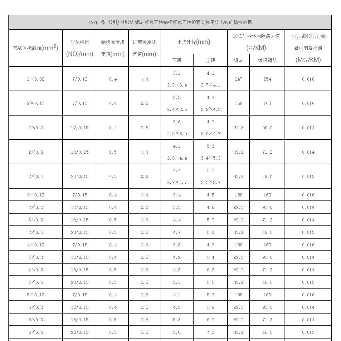
额定电压:U○/U 为 300/300V
额定温度:70℃
产品应用
适用于建筑楼宇对讲系统,防盗报警系统及其他弱电系统的控制和信号传输等
使用特性
1. 电缆长期允许工作温度应不超过 70℃
2. 电缆敷设温度应不低于 0℃
3. 允许弯曲半径, 电缆外径(D)小于等于16mm时,应不小于4D,大于16mm时,应不小于6D
4. 护套材料为优质聚氯乙烯,抗老化,耐磨损,防水,防油,防化学腐蚀,无毒等特性
5. 100m/200m/300m 每卷或定制长度

Copyright 2005-2020 浙江玖信通信技术有限公司 版权所有
网站备案/许可证号:浙ICP备2021021536号-1